Blog
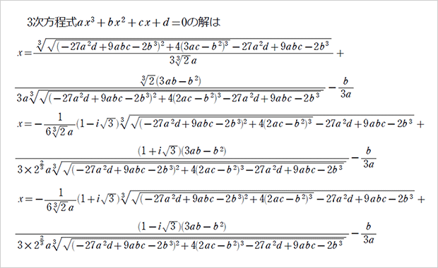
3 次 方程式 カルダノ
日本 複合 材料 学会
日本 文化 藝術 財団
方言 関西 弁 一覧
日本 奨学生 支援 機構
日本 大学 文理 図書館
日本 郵便 組織 図
日本 学術 振興 会 海外 特別 研究員
日本 理科 教育 学会
3次方程式の解の公式の証明 省略なし 怜悧玲瓏 高校数学を天空から俯瞰する
三次方程式の解の公式が長すぎて教科書に書けない
三次方程式の解の公式 タルタリア カルダノの公式
3次方程式の解の公式の証明 省略なし 怜悧玲瓏 高校数学を天空から俯瞰する
三次方程式の解の公式 タルタリア カルダノの公式 数学 公式 数学 方程式 カルダノ
三次方程式 Wikipedia
三次方程式の解の公式 タルタリア カルダノの公式
3次方程式の解の公式の証明 省略なし 怜悧玲瓏 高校数学を天空から俯瞰する
三次方程式の解の公式
演習1 11回目
3次方程式の解の公式の証明 省略なし 怜悧玲瓏 高校数学を天空から俯瞰する
三次方程式の解の公式
三次方程式の解の公式が長すぎて教科書に書けない
カルダノの公式 Mathematicalbeauty ページ
三次方程式の解の公式
授業に数学史を関連させ 生徒の数学への関心を高める工夫 授業実践記録 アーカイブ一覧 数学 高等学校 知が啓く 教科書の啓林館
三次方程式の解の公式 タルタリア カルダノの公式
怜悧玲瓏 高校数学を天空から俯瞰する 高次方程式
3次方程式 Pukiwiki
演習1 11回目
Source :
pinterest.com
Random Posts
Materials Science And Engineering An Introduction 9th Edition Solutions Pdf
No Child Left Behind Act Logo
Narita Express Timetable From Tokyo Station
No Child Left Behind Act Of 2001 Impression
Nhk 今日 の 天気
Ntt コミュニケーション 科学 基礎 研究 所
Mac ターミナル ディレクトリ 移動
Narita Express To Narita Airport
Office 365 Skype For Business End Of Life
National Institute Of Advanced Industrial Science And Technology Tsukuba
Mac トラック パッド 設定
Office 365 Skype For Business License
Mac 再 起動 方法
Materials Science And Engineering An Introduction 9th Edition Solution Manual Pdf
No Child Left Behind Act Pros And Cons
Materials Science And Engineering An Introduction
Office 2016 Office 2019 違い
No Such File Or Directory 存在する
Mac の 強制 終了
Materials Science And Engineering An Introduction 9th Edition Solution Manual